Skip to content
Search for:
5 КЛАСС
6 КЛАСС
7 КЛАСС
ФИЗИКА
ГЕОМЕТРИЯ
АЛГЕБРА
8 КЛАСС
ХИМИЯ
ФИЗИКА
ГЕОМЕТРИЯ
АЛГЕБРА
9 КЛАСС
АЛГЕБРА
ХИМИЯ
ФИЗИКА
ГЕОМЕТРИЯ
10 КЛАСС
АЛГЕБРА
ХИМИЯ
ФИЗИКА
ГЕОМЕТРИЯ
11 КЛАСС
ХИМИЯ
ФИЗИКА
ГЕОМЕТРИЯ
АЛГЕБРА
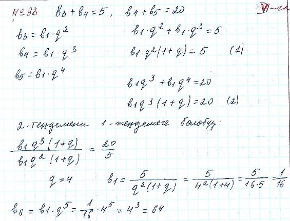
98
sales.kingdomhoney
2020-08-13T01:19:22+00:00
Page load link
Go to Top