Skip to content
Besh Plus Logo Besh Plus Logo Besh Plus Logo

  • 5 КЛАСС
  • 6 КЛАСС
  • 7 КЛАСС
    • ФИЗИКА
    • ГЕОМЕТРИЯ
    • АЛГЕБРА
  • 8 КЛАСС
    • ХИМИЯ
    • ФИЗИКА
    • ГЕОМЕТРИЯ
    • АЛГЕБРА
  • 9 КЛАСС
    • АЛГЕБРА
    • ХИМИЯ
    • ФИЗИКА
    • ГЕОМЕТРИЯ
  • 10 КЛАСС
    • АЛГЕБРА
    • ХИМИЯ
    • ФИЗИКА
    • ГЕОМЕТРИЯ
  • 11 КЛАСС
    • ХИМИЯ
    • ФИЗИКА
    • ГЕОМЕТРИЯ
    • АЛГЕБРА
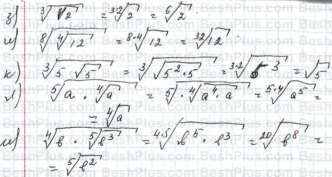
38

sales.kingdomhoney2020-01-11T17:49:15+00:00
© Besh Plus   |   All Rights Reserved   |   Powered by BeshPlus   |    info.beshplus@gmail.com   |   Besh Plus
FacebookTwitterYouTubeInstagramLinkedInRss
Page load link
error: Көчүрүү мүмкүн эмес!!!
Go to Top